Pesticides are substances that are meant to control pests (including weeds).
The term pesticide includes all of the following: herbicide, insecticides (which may include insect growth regulators, termiticides, etc.) nematicide, molluscicide, piscicide, avicide, rodenticide, bactericide, insect repellent, animal repellent, antimicrobial, fungicide, disinfectant (antimicrobial), and sanitizer.
The most common of these are herbicides which account for approximately 80% of all pesticide use.Most pesticides are intended to serve as plant protection products (also known as crop protection products), which in general, protect plants from weeds, fungi, or insects.
In general, a pesticide is a chemical or biological agent (such as a virus, bacterium, or fungus) that deters, incapacitates, kills, or otherwise discourages pests. Target pests can include insects, plant pathogens, weeds, molluscs, birds, mammals, fish, nematodes (roundworms), and microbes that destroy property, cause nuisance, or spread disease, or are disease vectors. Although pesticides have benefits, some also have drawbacks, such as potential toxicity to humans and other species.
(10E,14E,16E)-(1R,4S,5′S,6S,6′R,8R,12S,13S,20R,21R,24S)-6′-[(S)-sec-butyl]-21,24- dihydroxy-5′,11,13,22-tetramethyl-2-oxo-3,7,19-trioxatetra-cyclo[15.6.1.14,8.020,24] pentacosa-10,14,16,22-tetraene-6-spiro-2′-(5′,6′-dihydro-2′H-pyran)-12-yl 2,6-dideoxy-4-O- (2,6-dideoxy-3-O-methyl-α-L-arabino-hexopyranosyl)-3-O-methyl-α-L-arabino- hexopyranoside (i) mixture with (10E, 14E,16E)-(1R,4S,5′S,6S,6′R,8R,12S,13S,20R,21R, 24S)-21,24-dihydroxy-6′-isopropyl-5′,11,13,22-tetramethyl-2-oxo-3,7,19-trioxatetracyclo[15. 6.1.14,8.020,24]pentacosa-10,14,16,22-tetraene-6-spiro-2′-(5′,6′-dihydro-2′H-pyran)-12-yl 2, 6-dideoxy-4-O-(2,6-dideoxy-3-O-methyl-α-L-arabino-hexopyranosyl)-3-O-methyl-α-L-arabino-hexopyranoside (ii) (4:1)
Armyworm, cutworm, gall midge, thrip, aphid, red spider mite, maruca, hopper, green semi-looper, diamond-back moth, leaf miner, red spider mite, melay bug, scale
Bacillus thuringiensis
Biological insecticide
Hexaflumuron:
Diamond back moth, white butterfly, lopper, bollworm, borer, beet armyworm, Diptera, Lepidoptera, Coleoptera, Homoptera, bud worm
S, S’ – (2-dimethylaminotrimethylene) bis (thiocarbamate)
Stemborer, leaf folder, nematode, diamond back moth, thrip, aphid, shoot borer, leaf roller, cut worm, leaf miner, web caterpillar, pod borer, hopper, whitefly

O,O-diethyl O-(3,5,6-trichloro-2-pyridinyl)phosphorothioate
Cypermethrin(RS)-α-cyano-3-phenoxybenzyl (1RC, 3RS; 1RS, 3SR)-3-(2,2-dichlor-ovinyl)-2,2-dimethylcyclopropanecarboxylate.
Armyworm, web caterpillar, pod borer, red spider mite, aphid, hopper, whitefly, scale, bollworm, thrip, diamond back moth

(4’’R)5Odemethyl4’’deoxy4’’(methylamino)avermectin A1a+(4’’R)5Odemethyl25de (1methylpropyl) 4’’deoxy4’’(methylamino)25(1methylethyl)=Avermectin A1a(9:1)
IndoxacarbMethyl(S)-N-[7-chloro-2,3,4a,5-tetrahydro-4a-(methoxycarbonyl)indeno[1,2-e][1,3,4]oxadiazin-2-ylcarbonyl]-4′-(trifluoromethoxy)carbanilate
Fruit and shoot borer, pod borer, thrip, mite, leafroller, bollworm, diamond back moth, budworm, armyworm, cutworm, lopper, leaf hopper, aphid, bug


(4’’R)5Odemethyl4’’deoxy4’’(methylamino)avermectin A1a+(4’’R)5Odemethyl25de (1methylpropyl) 4’’deoxy4’’(methylamino)25(1methylethyl)=Avermectin A1a(9:1)
Imidacloprid1-(6-chloro-3-pyridylmethyl)-N-nitroimidazolidin-2-ylideneamine
Lufenuron:N-[[[2,5-dichloro-4-(1,1,2,3,3,3-hexafluoropropoxy)phenyl]amino]carbonyl]-2,6-difluorobenzamide
Pod fly, fruit and shoot borer, diamond back moth, fruit borer, bollworm, thrip, pod borer, mite, jassid, aphid, whitefly, termite, shoot fly, brown plant hopper


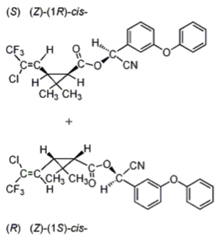
Lambda-cyhalothrin:A reaction product comprising equal quantities of (S)-α-cyano-3-phenoxybenzyl (Z)-(1R,3R)-3-(2-chloro-3,3,3-trifluoroprop-1-enyl)-2, 2-dimethylcyclopropanecarboxylate and (R)-α-cyano-3-phenoxybenzyl (Z)-(1S,3S)-3-(2-chloro-3,3,3-trifluoroprop-1-enyl)- 2,2-dimethylcyclopropanecarboxylate Roth: (S)-α-cyano-3-phenoxybenzyl(Z)-(1R)-cis-3-(2-chloro-3,3,3-trifluoropropenyl)-2,2 -dimethylcyclopropanecarboxylate and (R)-α-cyano-3-phenoxybenzyl (Z)-(1S)-cis-3-(2-chloro-3,3,3-trifluoropropenyl)-2,2-dimethylcyclopropanecarboxylate(1:1)
Chlorantraniliprole: 3-bromo-N-[4-chloro-2-methyl-6-(methylcarbamoyl) phenyl]-1-(3-chloropyridin-2-yl)-1H-pyrazole-5-carboxamide
Aphids, Colorado beetles, thrips, lepidopteran larvae, coleopteran larvae and adults, some Coleoptera, Diptera and Isoptera species


Lambda-cyhalothrin:A reaction product comprising equal quantities of (S)-α-cyano-3-phenoxybenzyl (Z)-(1R,3R)-3-(2-chloro-3,3,3-trifluoroprop-1-enyl)-2, 2-dimethylcyclopropanecarboxylate and (R)-α-cyano-3-phenoxybenzyl (Z)-(1S,3S)-3-(2-chloro-3,3,3-trifluoroprop-1-enyl)- 2,2-dimethylcyclopropanecarboxylate Roth: (S)-α-cyano-3-phenoxybenzyl(Z)-(1R)-cis-3-(2-chloro-3,3,3-trifluoropropenyl)-2,2 -dimethylcyclopropanecarboxylate and (R)-α-cyano-3-phenoxybenzyl (Z)-(1S)-cis-3-(2-chloro-3,3,3-trifluoropropenyl)-2,2-dimethylcyclopropanecarboxylate(1:1)
Profenofos: O-4-bromo-2-chlorophenyl O-ethyl S-propyl phosphorothioate
Aphid, Coloradobeetle, Thrip, Lepidoptera, Coleoptera, Mite and Cotton bollworm


lufrnuronN-[[[2,5-dichloro-4-(1,1,2,3,3,3-hexafluoropropoxy)phenyl]amino]carbonyl]-2,6-difluorobenzamide
Profenofos: O-4-bromo-2-chlorophenyl O-ethyl S-propyl phosphorothioate
Pod borer, ear bollworm, caterpillar, olethreuid, green/ brown plant hopper, gall midge, red cotton bug, aphid, thrip, red spider mite, leaf miner and binder, maruca, diamond back moth

2, 4, 6, 8-tetramethyl-1, 3, 5, 7-tetraoxacyclo-octane
Slugs and snails

O-(4-bromo-2-chlorophenyl) O-ethyl S-propyl phosphorothioate
Leaf miner and binder, aphid, thrip, green plant hopper, brown plant hopper, gall midge, bollworm, red cotton bug, red spider mite, maruca, diamond backed moth, other sucking insects

O,O-diethyl O-1-phenyl-1H-1,2,4-triazol-3-yl phosphorothioate
Abamectin:(10E,14E,16E)-(1R,4S,5′S,6S,6′R,8R,12S,13S,20R,21R,24S)-6′-[(S)-sec-butyl]-21,24- dihydroxy-5′,11,13,22-tetramethyl-2-oxo-3,7,19-trioxatetra-cyclo[15.6.1.14,8.020,24] pentacosa-10,14,16,22-tetraene-6-spiro-2′-(5′,6′-dihydro-2′H-pyran)-12-yl 2,6-dideoxy-4-O- (2,6-dideoxy-3-O-methyl-α-L-arabino-hexopyranosyl)-3-O-methyl-α-L-arabino- hexopyranoside (i) mixture with (10E, 14E,16E)-(1R,4S,5′S,6S,6′R,8R,12S,13S,20R,21R, 24S)-21,24-dihydroxy-6′-isopropyl-5′,11,13,22-tetramethyl-2-oxo-3,7,19-trioxatetracyclo[15. 6.1.14,8.020,24] pentacosa-10,14,16,22-tetraene-6-spiro-2′-(5′,6′-dihydro-2′H-pyran)-12-yl 2, 6-dideoxy-4-O-(2,6-dideoxy-3-O-methyl-α-L-arabino-hexopyranosyl)-3-O-methyl-α-L-arabino-hexopyranoside (ii) (4:1)
Stem borer, leaf folder, hispa, green leaf hopper, brown plant hopper, bollworm, whitefly, leaf miner

3-[(2-chloro-5-thiazolyl)methyl]tetrahydro-5-methyl-N-nitro-4H-1,3,5-oxadiazin-4-imine
Leafhopper, whitefly, aphid, striped flea beetle